8pt 5pt GLAS-PPE/96-01
The diffractive processes studied are of the form:
|
The subject of diffraction is far from new: diffractive processes have been measured and studied for more than thirty years [2]. Their relation to the corresponding total cross sections at high energies has been successfully interpreted via the introduction of a single pomeron trajectory with a characteristic W2 and t dependence [3]. The high-energy behaviour of the total cross sections is described by a power-law dependence on W2:
| (1) |
| (2) |
Whilst these Regge-based models give a unified description of all pre-HERA diffractive data, this approach is not fundamentally linked to the underlying theory of QCD. It has been anticipated that at HERA energies if either of the scales Q2, M2 or t become larger than the QCD scale L2, then it may be possible to apply perturbative QCD (pQCD) techniques, which predict changes to this power law behaviour, corresponding to an increase in the effective value of e and a decrease of a'. This brings us from the regime of dominance of the slowly-rising ``soft" pomeron to the newly emergent ``hard" behaviour and the question of how a transition may occur between the two. Precisely where the Regge-based approach breaks down or where pQCD may be applicable is open to experimental question. The emphasis is therefore on the internal (in)consistency of a wide range of measurements of diffractive and total cross sections. As an experimentalist navigating around the various theoretical concepts of the pomeron, it is sometimes difficult to see which direction to take and what transitions occur where (Figure 1(a)). However, from an experimental perspective, the directions are clear, even if the map is far from complete (Figure 1(b)).

The HERA collider allows us to observe a broad range of diffractive phenomena at the highest values of W2. What is new is that we have the ability to observe the variation of these cross sections at specific points on the M2 scale, from the r0 up to the U system as discussed in section 2.1. Similarly, the production cross section can be explored as a function of Q2, using a virtual photon probe. The high energy available provides a large rapidity span of @ 10 units (D(h) ~ ln(W2)). The observation of a significant fraction of events ( @ 10%) with a large rapidity gap between the outgoing proton, p', and the rest of the final state, X, in deep inelastic scattering (DIS) has led to measurements of the internal structure of the pomeron. These results are discussed in section 2.2. Similar studies of events with high-pT jets and a large rapidity gap have also been used to provide complementary information on this structure. Also, the observation of rapidity gaps between jets, corresponding to large t diffraction, are presented in section 2.3. Finally, a first analysis of the leading proton spectrometer data where the diffracted proton is directly measured is presented in section 2.4.
|
The clean topology of these events results in typical errors on the measured quantities (t, M2, W2 and Q2), reconstructed in the tracking chambers, of order 5%. Containment within the tracking chambers corresponds to a W interval in the range 40 <~ W <~ 140 GeV. However, some analyses are restricted to a reduced range of W where the tracking and trigger systematics are well understood. Conversely, H1 have also used the shifted vertex data to extend the analysis of the r0 cross section to higher <W> = 187 GeV. At small t there are problems triggering and, to a lesser extent, reconstructing the decay products of the vector meson. In particular, the photoproduction of f mesons is limited to t >~ 0.1 GeV2, since the produced kaons are just above threshold and the available energy in the decay is limited. In order to characterise the t-dependence, a fit to the diffractive peak is performed. In the most straightforward approach, a single exponential fit to the t distribution, dN/d|t| µ e-b|t| for |t| <~ 0.5 GeV2 is adopted.
The contributions to the systematic uncertainties are similar in each of the measurements. For example, the uncertainties on acceptance of photoproduced r0's are due to uncertainties on trigger thresholds ( @ 9%), variations of the input Monte Carlo distributions ( @ 9%) and track reconstruction uncertainties especially at low pT ( @ 6%). In particular for the r0 analysis, where the mass distribution is skewed compared to a Breit-Wigner shape, uncertainties arise due to the assumptions of the fit for the interference between the resonant signal and the non-resonant background contributions ( @ 7%). Other significant contributions to the uncertainty are contamination due to e-gas interactions ( @ 2-5%) and from higher mass dissociated photon states, such as elastic w and f decays ( @ 2-7%). The uncertainty due to neglecting radiative corrections can also be estimated to be @ 4-5% [5,6].
Finally, one of the key problems in obtaining accurate measurements of the exclusive cross sections and the t slopes is the uncertainty on the double dissociation component, where the proton has also dissociated into a low mass nucleon system [14]. The forward calorimeters will see the dissociation products of the proton if the invariant mass of the nucleon system, MN, is above approximately 4 GeV. A significant fraction of double dissociation events produce a limited mass system which is therefore not detected. Proton remnant taggers are now being used further down the proton beamline to provide constraints on this fraction and, in the H1 experiment, further constraints are provided by measuring secondary interactions in the forward muon system. Based on p[`p] data one finds that the dissociated mass spectrum falls as dN/dMN2 = 1/MNn with n = 2.20 ± 0.03 at Ös = 1800 GeV from CDF measurements [15]. However it should be noted that this measurement corresponds to a restricted mass interval. The extrapolation to lower masses is subject to uncertainties and the universality of this dissociation is open to experimental question, given the different behaviour at the upper vertex. Precisely how the proton dissociates and whether the proton can be regarded as dissociating independently of the photon system is not a priori known. Currently, this uncertainty is reflected in the cross sections by allowing the value of n to vary from around 2 to 3, although this choice is somewhat arbitrary. The magnitude of the total double dissociation contribution is estimated to be typically @ 50% prior to cuts on forward energy deposition, a value which can be cross-checked in the data with an overall uncertainty of @ 10% which is due to the considerations above. Combining the above uncertainties, the overall systematic errors in the various cross sections are typically @ 20%.
Photoproduction processes have been extensively studied in fixed-target experiments, providing a large range in W over which to study the cross sections. The key features are the weak dependence of the cross section on W, an exponential dependence on t with a slope which shrinks with increasing W and the retention of the helicity of the photon by the vector meson. The t dependence of the r0 photoproduction data is illustrated in Figure 2 where the H1 and ZEUS data are compared to a compilation of lower energy data [16]. The data are consistent with a shrinkage of the t slope with increasing Eg @ W2/2 , where Eg is the photon energy in the proton rest frame, as indicated by the curve for soft pomeron exchange [17].

The measured t slopes are 9.4±1.4±0.7 GeV-2 (H1) [5] and 10.4±0.6±1.1 GeV-2 (ZEUS) [6] for the r0 (where similar single-exponential fits have been applied). These values can be compared to 7.3±1.0±0.8 GeV-2 (ZEUS) [9] for the f and 4.7±1.9 GeV-2 (H1) [11] for the J/y. Physically, the slope of the t dependence in diffractive interactions tells us about the effective radius of that interaction, R: if ds/dt µ e-b|t|, then b @ 1/4 R2. The range of measured b slopes varies from around 4 GeV-2 (R @ 0.8 fm) to 10 GeV-2 (R @ 1.3 fm). Further, the interaction radius can be approximately related to the radii of the interacting proton and vector meson, R @ [Ö(RP2 + RV2)]. Given RP @ 0.7 fm, then this variation in b slopes corresponds to a significant change in the effective radius of the interacting vector meson from RV @ 0.4 fm to RV @ 1.1 fm.

Integrating over the measured t dependence, the W dependence of the results on exclusive vector meson photoproduction cross sections are shown in Figure 3 [18]. From the experimental perspective, there is generally good agreement on the measured cross sections. The gp total cross section is also shown in Figure 3, rising with increasing energy as in hadron-hadron collisions and consistent with a value of e @ 0.08 i.e. the total cross section increases as W0.16.
Given the dominance of the pomeron trajectory at high W and an approximately exponential behaviour of the |t| distribution with slope b @ 10, whose mean |[`t]| value is given by 1/b, the diffractive cross section rise is moderated from
|
|
Qualitatively, the W0.8 dependence, corresponding to [`(e)] @ 0.2, could be ascribed to the rise of the gluon density observed in the scaling violations of F2. The J/y mass scale, M2, is larger than the QCD scale L2, and it is therefore possible to apply pQCD techniques. Quantitatively, the theoretical analysis predicts that the rise of the cross section is proportional to the square of the gluon density at small-x and allows discrimination among the latest parametrisations of the proton structure function [19]. We also know from measurements of the DIS g* p total cross section that application of formula (1) results in a value of e which increases with increasing Q2, with e @ 0.2 to 0.25 at Q2 @ 10 GeV2 [18]. The fact that the corresponding relative rise of F2 with decreasing x can be described by pQCD evolution [20] points towards a calculable function e = e(Q2) for Q2 >~ Qo2 @ 0.3 GeV2.
One contribution to the DIS g* p total cross section is the electroproduction of low mass vector mesons. Experimentally, the statistical errors typically dominate with systematic uncertainties similar to the photoproduction case. The trigger uncertainties are significantly reduced, however, since the scattered electron is easily identified and the radiative corrections, which are more significant ( @ 15% [21]), can be corrected for. The W dependence of the DIS r0 and f cross sections for finite values of Q2 are shown in Figure 4, compared to the corresponding photoproduction cross sections. The W dependence for the r0 and f electroproduction data are similar to those for the J/y photoproduction data, consistent with an approximate W0.8 dependence also shown in Figure 4. An important point to emphasise here is that the relative production of f to r0 mesons approaches the quark model prediction of 2/9 at large W and large Q2, which would indicate the applicability of pQCD to these cross sections. The measurements of the helicity angle of the vector meson decay provide a measurement of R = sL/sT for the (virtual) photon, assuming s-channel helicity conservation, i.e. that the vector meson preserves the helicity of the photon. The photoproduction measurements for the r0 are consistent with the interaction of dominantly transversely polarised photons (R = 0.06±0.03 (ZEUS) [6]). However, adopting the same analysis for virtual photons, R = 1.5+2.8-0.6 (ZEUS) [8], inconsistent with the behaviour in photoproduction and consistent with a predominantly longitudinal exchange. This predominance is expected for an underlying interaction of the virtual photon with the constituent quarks of the r0. Also, the measured b slope approximately halves from the photoproduction case to a value of b = 5.1+1.2-0.9±1.0 (ZEUS) [8], comparable to that in the photoproduced J/y case. The basic interaction is probing smaller distances, which allows a first comparison of the observed cross section with the predictions of leading-log pQCD (see [8]).


Finally, first results based on the observation of 42 J/y events at significant <Q2> = 17.7 GeV2 have been reported by H1 [13]. The cross section has been evaluated in two W intervals in order to obtain an indication of the W dependence, as shown in Figure 5, where an estimated 50% contribution due to double dissociation has been subtracted [22]. The electroproduction data are shown with statistical errors only although the systematics are estimated to be smaller than these errors ( @ 20%). The electroproduction and photoproduction J/y data are consistent with the W0.8 dependence ([`(e)] @ 0.2) noted previously. The J/y electroproduction cross section is of the same order of that of the r0 data, in marked contrast to the significantly lower photoproduction cross section for the J/y, even at HERA energies, also shown in Figure 5. Further results in this area would allow tests of the underlying dynamics for transverse and longitudinally polarised photons coupling to light and heavy quarks in the pQCD calculations.

In conclusion, there is an accumulating body of exclusive vector meson production data, measured with a systematic precision of @ 20%, which exhibit two classes of W2 behaviour: a slow rise consistent with that of previously measured diffractive data for low M2 photoproduction data but a significant rise of these cross sections when a finite Q2 and/or a significant M2 is measured.
In the presentation of the results, the formalism changes [25], reflecting an assumed underlying partonic description, and two orthogonal variables are determined:
|
|
As discussed above, a major uncertainty comes from the estimation of the non-diffractive background. This problem has been addressed in a different way in a further analysis by ZEUS [27]. In this analysis the mass spectrum, M2, is measured as a function of W and Q2, as shown in Figure 6 for four representative intervals, where the measured mass is reconstructed in the calorimeter and corrected for energy loss but not for detector acceptance, resulting in the turnover at large M2. The diffractive data are observed as a low mass shoulder at low W, which becomes increasingly apparent at higher W. Also shown in the figure are the estimates of the non-diffractive background based on (a) the ARIADNE Monte Carlo (dotted histogram) and (b) a direct fit to the data, discussed below.

The probability of producing a gap is exponentially suppressed as a function of the rapidity gap, and hence as a function of ln(M2), for non-diffractive interactions. The slope of this exponential is directly related to the height of the plateau distribution of multiplicity in the region of rapidity where the subtraction is made. The data can thus be fitted to functions of the form dN/d ln(M2) = D + C exp( b ·ln(M2)) , in the region where the detector acceptance is uniform, where b, C and D are determined from the fits. Here, D represents a first-order estimate of the diffractive contribution which is flat in ln(M2). The important parameter is b, which is determined to be b = 1.55±0.15 in fits to each of the measured data intervals, compared to b = 1.9±0.1 estimated from the ARIADNE Monte Carlo. The systematic uncertainty in the background reflects various changes to the fits, but in each case the measured slope is incompatible with that of the Monte Carlo. This result in itself is interesting, since the fact that ARIADNE approximately reproduces the observed forward ET ( ~ multiplicity) flow but does not reproduce the measured b slope suggests that significantly different correlations of the multiplicities are present in non-diffractive DIS compared to the Monte Carlo expectations. Also new in this analysis is that the diffractive Monte Carlo POMPYT 1.0 [28] has been tuned to the observed data contribution for low mass states, allowing the high b region to be measured up to the kinematic limit (b® 1) and radiative corrections have been estimated in each interval ( <~ 10% [21]).
The virtual-photon proton cross sections measured at fixed M2 and W, measured in this analysis, can be converted to F2D(3) at fixed b and xIP. These results are shown in Figure 7 as the ZEUS(BGD) [27] analysis, compared to the earlier H1 [23] and ZEUS(BGMC) [24] analyses in comparable intervals of b and Q2 as a function of xIP. The overall cross sections in each b and Q2 interval are similar, however, the xIP dependences are different. As can be seen in Figure 6, the background estimates are significantly different which results in a systematic shift in the W (xIP) dependence at fixed M (b) and Q2.

Fits of the form F2D(3) = bi ·xIPn are performed where the normalisation constants bi are allowed to differ in each b,Q2 interval. The fits are motivated by the factorisable ansatz of F2D(3)(b, Q2, xIP) = fIP(xIP) ·F2IP(b,Q2), where fIP(xIP) measures the flux of pomerons in the proton and F2IP(b,Q2) is the probed structure of the pomeron. The exponent of xIP is identified as n = 1+2·[`(e)], where [`(e)] measures the effective xIP dependence ( º W2 dependence at fixed M2 and Q2) of the cross section, integrated over t, as discussed in relation to exclusive vector meson production. In each case, the c2/DOF are @ 1 indicating that a single power law dependence on energy provides a reasonable description of the data and that effects due to factorisation breaking predicted in QCD-based calculations [29] are not yet observable. The results for [`(e)] are 0.095±0.030±0.035 (H1) [23], 0.15±0.04+0.04-0.07 (ZEUS(BGMC)) [24] and 0.24±0.02+0.07-0.05 (ZEUS(BGD)) [27], where the systematic errors are obtained by refitting according to a series of systematic checks outlined above. It should be noted that the (2s) systematic shift between the ZEUS(BGD) and ZEUS(BGMC) can be attributed to the method of background subtraction. Whilst the H1 and ZEUS(BGMC) analyses, based on Monte Carlo background subtraction, agree within errors, the ZEUS(BGD) value is different from the H1 value at the 3s level.
The Donnachie-Landshoff prediction [3] is [`(e)] @ 0.05, after integration over an assumed t dependence and taking into account shrinkage. While comparison with the H1 value indicates that this contribution is significant, the possibility of additional contributions cannot be neglected. Taking the ZEUS(BGD) value, this measurement is incompatible with the predicted soft pomeron behaviour at the 4s level. Estimates of the effect of sL made by assuming sL = (Q2/M2) sT rather than sL = 0 result in [`(e)] increasing from 0.24 to 0.29.
The values can also be compared with [`(e)] @ 0.2 obtained from the exclusive photoproduction of J/y mesons and the electroproduction data or with e @ 0.2 to 0.25 obtained from the dependence of the total cross sections in the measured Q2 range [18]. In the model of Buchmüller and Hebecker [30], the effective exchange is dominated by one of the two gluons. In terms of e, where the optical theorem is no longer relevant, the diffractive cross section would therefore rise with an effective power which is halved to e @ 0.1 to 0.125. The measured values are within the range of these estimates.
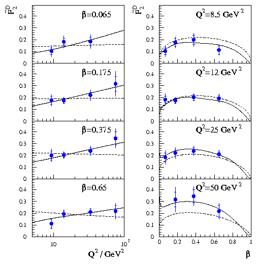
The overall cross sections in each b, Q2 interval are similar and one can integrate over the measured xIP dependence in order to determine [F\tilde]2D(b, Q2), a quantity which measures the internal structure of the pomeron up to an arbitrary integration constant. Presented in this integrated form, the data agree on the general features of the internal structure. In Figure 8 the H1 data are compared to preliminary QCD fits [31]. The general conclusions from the b dependence are that the pomeron has a predominantly hard structure, typically characterised by a symmetric b(1-b) dependence, but also containing an additional, significant contribution at low b which has been fitted in the ZEUS analysis [24]. The virtual photon only couples directly to quarks, but the overall cross section can give indications only of the relative proportion of quarks and gluons within the pomeron, since the flux normalisation is somewhat arbitrary [24]. The Q2 behaviour is broadly scaling, consistent with a partonic structure of the pomeron. Probing more deeply, however, a characteristic logarithmic rise of [F\tilde]2D is observed in all b intervals. Most significantly, at large b a predominantly quark-like object would radiate gluons resulting in negative scaling violations as in the case of the large-x ( >~ 0.15) behaviour of the proton. The question of whether the pomeron is predominantly quarks or gluons, corresponding to a ``quarkball" or a ``gluemoron" [32], has been tested quantitatively by H1 using QCD fits to [F\tilde]2D [31]. A flavour singlet quark density input of the form zq(z) = Aq ·zBq(1-z)Cq, where z is the momentum fraction carried by the quark, yields a numerically acceptable c2. The characteristic Q2 behaviour, however, is not reproduced. Adding a gluon contribution of similar form gives an excellent description of the data. The fit shown uses Bq = 0.35, Cq = 0.35, Bg = 8, Cg = 0.3. In general, the fits tend to favour inputs where the gluon carries a significant fraction, ~ 70 to 90%, of the pomeron's momentum.

We now have two sets of data, the DIS data [24] probing the pomeron structure at a scale Q and the jet data probing at a scale of ETjet. Each probes the large z structure of the pomeron with the jet and DIS data, predominantly sampling the (hard) gluon and quark distributions, respectively. In Figure 9(b) the preferred momentum fraction carried by the (hard) gluon, cg, is indicated by the overlapping region of the jet (dark band) and DIS (light band) fits to the data. Considering the systematics due to the non-diffractive background, modelled using the Monte Carlo models, a range of values consistent with cg ~ 0.55 ±0.25 can be estimated. The result depends on the assumption that the cross sections for both sets of data factorise with a universal flux, characterised by the same value of [`(e)] in this W range, but does not assume the momentum sum rule.


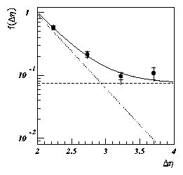
So far we have only considered the case of small-t diffraction with respect to the outgoing proton. Further insight into the diffractive exchange process can be obtained by measurements of the rapidity gap between jets. Here, a class of events is observed with little hadronic activity between the jets [35]. The jets have ETjet > 6 GeV and are separated by a pseudorapidity interval (Dh) of up to 4 units. The scale of the momentum transfer, t, is not precisely defined but is of order (ETjet)2. A gap is defined as the absence of particles with transverse energy greater than 300 MeV between the jets. The fraction of events containing a gap is then measured as a function of Dh, as shown in Figure 10. The fit indicates the sum of an exponential behaviour, as expected for non-diffractive processes and discussed in relation to the diffractive DIS data, and a flat distribution expected for diffractive processes. At values of Dh >~ 3, an excess is seen with a constant fraction over the expectation for non-diffractive exchange at @ 0.07±0.03. This can be interpreted as evidence for large-t diffractive scattering. In fact, secondary interactions of the photon and proton remnant jets could fill in the gap and therefore the underlying process could play a more significant rôle. The size of this fraction is relatively large when compared to a similar analysis by D0 and CDF where a constant fraction at @ 0.01 is observed [36,37]. The relative probability may differ due to the higher W values of the Tevatron compared to HERA or, perhaps, due to differences in the underlying gp and p[`p] interactions.



The soft pomeron no longer describes all diffractive data measured at HERA. As the photon virtuality and/or the vector meson mass increases a new dependence on W2 emerges. As we investigate the pomeron more closely, a new type of dynamical pomeron may begin to play a rôle: a dynamical pomeron whose structure is being measured in DIS. These data are consistent with a partonic description of the exchanged object which may be described by pQCD. The experimental work focuses on extending the lever arms and increasing the precision in t, M2, W2 and Q2 in order to explore this new structure. Before more precise tests can be made, further theoretical and experimental input is required to reduce the uncertainties due to non-diffractive backgrounds and proton dissociation as well as the treatment of FL and radiative corrections.
The results presented in this talk are a summary of significant developments in the study of diffraction at HERA during the last year. The financial support of the DESY Directorate and PPARC allowed me to participate in this research, whilst based at DESY, for which I am very grateful. It is a pleasure to thank Halina Abramowicz, Ela Barberis, Nick Brook, Allen Caldwell, John Dainton, Robin Devenish, Thomas Doeker, Robert Klanner, Henri Kowalski, Aharon Levy, Julian Phillips, Jeff Rahn, Laurel Sinclair, Ian Skillicorn, Ken Smith, Juan Terron, Jim Whitmore and Günter Wolf for their encouragement, enthusiasm, help and advice. Finally, thanks to Mike Whalley for his organisation at the workshop and for keeping me to time in these written proceedings.